%%{init: {'flowchart' : {'curve' : 'linear'}}}%%
flowchart LR;
X((Éducation)) --> Y((Idéologie politique));
Méthodologie quantitative POL-2000
Université Laval

Déterminer si c’est possible d’identifier l’effet causale de la VD sur la VI
Identifier les variables de contrôle qui doivent être incluses dans le modèle statistique
Dessiner des GOA force le chercheur à révéler ses postulats théoriques de façon explicite et transparente
%%{init: {'flowchart' : {'curve' : 'linear'}}}%%
flowchart LR;
X((Éducation)) --> Y((Idéologie politique));
Éducation augmente le revenu individuel
Revenu individuel augmente l’appui aux partis politiques qui promettent des baisses d’impôts
Revenu des parents augmente l’éducation de leurs enfants
Revenu des parents augmente le revenu de leurs enfants
graph LR;
X(Éducation) --> Y(Idéologie politique);
graph LR;
X(Éducation, Variable indépendante, cause);
graph LR;
Y(Idéologie politique, Variable dépendante, effet);
graph LR;
Z1(Revenu des parents);
graph LR;
Z2(Revenu individuel);
Sources: la littérature scientifique, les connaissances du chercheur, la théorie, la logique, la passion, etc.
Relations causales:
graph LR;
X(Éducation) --> Z1(Revenu individuel);
graph LR;
Z1(Revenu individuel) --> Y(Droite politique);
graph LR;
Z2(Revenu des parents) --> X(Éducation);
graph LR;
Z2(Revenu des parents) --> Z1(Revenu individuel);
%%{init: {'flowchart' : {'curve' : 'linear'}}}%%
flowchart LR;
X((Éducation)) --> Z1((Revenu individuel));
X --> Y((Idéologie politique));
Z1 --> Y;
Z2((Revenu des parents)) --> X;
Z2 --> Z1;
Ces deux caractéristiques sont essentielles pour la validité causale des GOA. La preuve mathématique fonctionne seulement si ces deux conditions sont respectés.
Les relations causales d’un GOA sont toujours unidirectionnelles
Quand deux relations causales se suivent, ont dit qu’elle forment un chemin
%%{init: {'flowchart' : {'curve' : 'linear'}}}%%
graph LR;
linkStyle default interpolate basis
A((A)) --> B((B));
B --> C((C));
C est une variable descendante de A et B est une variable descendante de A
A et B sont l’ancêtre de C
Si il n’y a pas de chemin entre A et C alors il n’y a pas de causalité
%%{init: {'flowchart' : {'curve' : 'linear'}}}%%
flowchart LR;
A((A)) --> B((B));
C((C)) --> B;
Bon exemple:
%%{init: {'flowchart' : {'curve' : 'linear'}}}%%
flowchart LR;
A((A)) --> B((B));
B --> D((D));
B --> C((C));
Mauvais exemple:
%%{init: {'flowchart' : {'curve' : 'linear'}}}%%
flowchart LR;
A((A)) --> B((B));
B --> D((D));
B --> C((C));
C --> A;

La causalité circule dans un sens seulement mais l’information statistique peut circuler dans les deux sens
%%{init: {'flowchart' : {'curve' : 'linear'}}}%%
flowchart LR;
x(Température) --> y(Vente de crème glacée);
x --> z(Mercure);
Savoir que le mercure est élevé peut donner une bonne indice que la vente de crème glacée va augmenter mais ça ne veut pas dire que le mercure cause la vente de crème glacée
%%{init: {'flowchart' : {'curve' : 'linear'}}}%%
flowchart LR;
A((A)) --> B((B));
A --> C((C));
Ouvert!
%%{init: {'flowchart' : {'curve' : 'linear'}}}%%
flowchart LR;
A((A)) --> B((B));
B --> C((C));
Ouvert!
%%{init: {'flowchart' : {'curve' : 'linear'}}}%%
flowchart LR;
A((A)) --> B((B));
C((C)) --> B;
Fermé!
Contrôler pour le maillon central d’un chemin RENVERSE le flot d’information:
%%{init: {'flowchart' : {'curve' : 'linear'}}}%%
flowchart LR;
X((Comportements risqués X)) --> Z((Ne pas porter sa ceinture Z));
Z --> Y((Se blesser gravement Y));
Pour signifier qu’on contrôle pour une variable, on l’encadre
Non contrôlé
%%{init: {'flowchart' : {'curve' : 'linear'}}}%%
flowchart LR;
X((Comportements risqués X)) --> Z((Ne pas porter sa ceinture Z));
Z --> Y((Se blesser gravement Y));
L’information statistique circule
Contrôlé
%%{init: {'flowchart' : {'curve' : 'linear'}}}%%
flowchart LR;
X((Comportements risqués X)) --> Z[Ne pas porter sa ceinture Z];
Z --> Y((Se blesser gravement Y));
L’information statistique ne circule plus
%%{init: {'flowchart' : {'curve' : 'linear'}}}%%
flowchart LR;
X((Comportements risqués X)) --> Z((Ne pas porter sa ceinture Z));
Z --> Y((Se blesser gravement Y));
Ici le chemin est ouvert donc l’information statistique circule entre les deux extrémité. Savoir que le comportement est rsiqué donne de l’information sur les chances de se blesser gravement et savoir que la personne est blessée gravement indique qu’il y a peut-être eu un comportement risqué.
%%{init: {'flowchart' : {'curve' : 'linear'}}}%%
flowchart LR;
X((Comportements risqués X)) --> Z[Ne pas porter sa ceinture Z];
Z --> Y((Se blesser gravement Y));
Ici le chemin est fermé donc l’information statistique ne circule pas entre les deux extrémité. Si on sait que la personne portait sa ceinture et qu’elle s’est blessée gravement, ça ne nous donne pas d’information sur le comportement risqué.
Une fourchette c’est une cause avec deux effets
%%{init: {'flowchart' : {'curve' : 'linear'}}}%%
flowchart LR;
x(Température) --> y(Vente de crème glacée);
x --> z(Mercure);
L’information statistique circule entre les deux extrémité donc le chemin est ouvert
Si on contrôle le maillon central, on ferme le chemin
Quand on fixe le maillon central, la température, les variation de mercure nous donne plus aucune information sur les ventes de crème glacée
Une séquence de deux relations causales
%%{init: {'flowchart' : {'curve' : 'linear'}}}%%
flowchart LR;
x(Consommation de sucre) --> y(Diabète de type 2);
y --> z(Risque de maladies cardiovasculaires);
Une chaine est ouverte,l’information y circule entre les extremités
Connaître la cause donne de l’info sur l’effet
Connâitre l’effet donne de l’info sur la cause
Contrôler le maillon central ferme le chemin. Si je sais qu’un patient a une maladie cardiovasculaire mais pas de diabète alors je sais que la cause n’est pas la surconsommation de sucre
Deux causes et un effet
%%{init: {'flowchart' : {'curve' : 'linear'}}}%%
flowchart LR;
x(Performance de l'équipe) --> y(victoire);
z(Biais de l'arbitre) --> y;
La collision est fermée parce que l’info statistique ne circule pas des deux bords.
Par contre si on controle le milieu, Admetton qu’on sait que la performance de l’équipe était nulle et qu’ils ont gagné, ça peut indiquer que l’arbitre était potentiellement biaisé
%%{init: {'flowchart' : {'curve' : 'linear'}}}%%
flowchart TD;
subgraph Fourchettes
subgraph Ouvert
y1((y)) --> x1((x));
y1((y)) --> z1((z));
end
subgraph Fermé
x6((x)) --> y6[y];
z6((z)) --> y6;
end
end
%%{init: {'flowchart' : {'curve' : 'linear'}}}%%
flowchart TD;
subgraph Chaînes
subgraph Ouvert
x2((x)) --> y2((y));
y2 --> z2((z));
end
subgraph Fermé
x5((x)) --> y5[y];
y5 --> z5((z));
end
end
%%{init: {'flowchart' : {'curve' : 'linear'}}}%%
flowchart TD;
subgraph Collisions
subgraph Fermé
x3((x)) --> y3((y));
z3((z)) --> y3;
end
subgraph Ouvert
x4((x)) --> y4[y];
z4((z)) --> y4;
end
end
Un chemin peut être composé d’une infinité de combinaison de fourchettes, chaines, et collisions. Le chemin est ouvert si tout est ouvert et fermé si un des lien est fermé.
Disons que le genre influence le salaire et l’occupation et que l’occupation influence le salaire. Si on controle pour l’occupation, on vient juste observer l’effet du genre sur le salaire mais on obstrue l’effet du genre sur l’occupation sur le salaire. On coupe une part importante de l’effet du genre sur le salaire.
%%{init: {'flowchart' : {'curve' : 'linear'}}}%%
flowchart LR;
x(Genre) --> z(Occupation);
x --> y(Salaire);
z --> y;
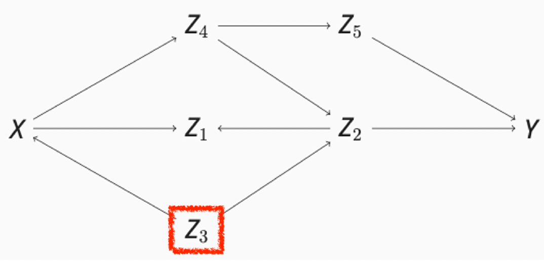
Les backdoors sont les causes de notre cause. On ne veut pas voir les effets des causes sur nos causes.
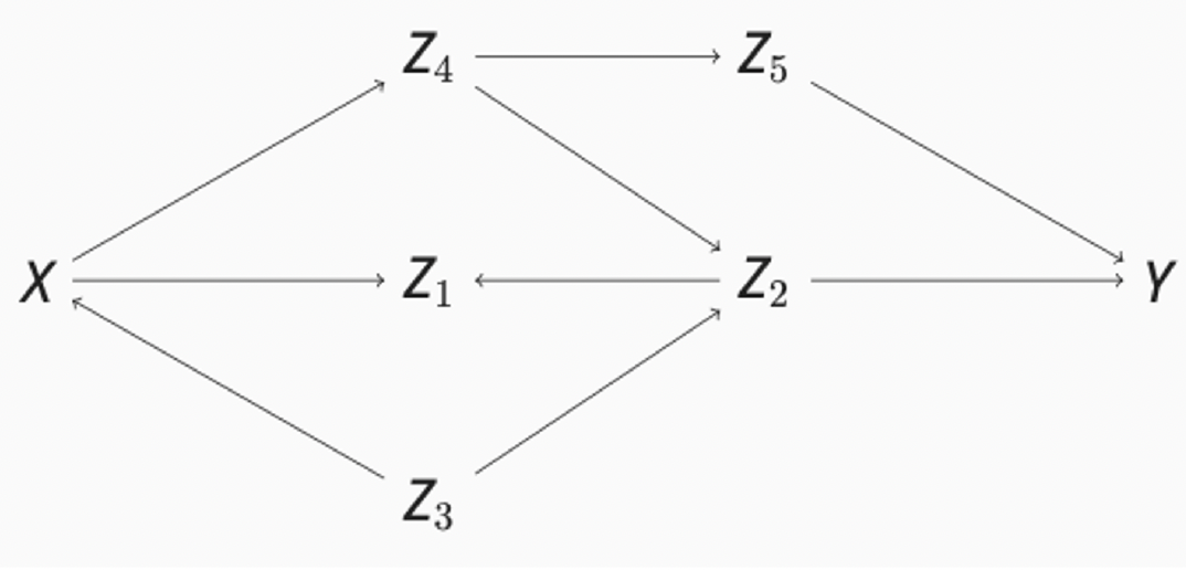
Faire une liste de tous les chemins qui lient la cause à l’effet
Est-ce que certains chemins pointent vers X?
Est-ce que ces chemins sont ouverts ?
%%{init: {'flowchart' : {'curve' : 'linear'}}}%%
flowchart LR;
x(Éclatement familial) --> y(itinérance);
z(Santé mentale) --> y;
z --> x;
Ici si on controle pour la santé mentale. On sait que c’est vrm l’éclatement familiale qui a causé l’itinérance et non la santé mentale qui a causé l’éclatement qui a causé l’itinérance
%%{init: {'flowchart' : {'curve' : 'linear'}}}%%
flowchart LR;
X((Éducation)) --> Z1((Revenu individuel));
X --> Y;
Z1 --> Y((Idéologie politique));
Z2((Revenu des parents)) --> X;
Z2 --> Z1;
%%{init: {'flowchart' : {'curve' : 'linear'}}}%%
flowchart LR;
X((Éducation)) --> Z1((Revenu individuel));
X --> Y;
Z1 --> Y((Idéologie politique));
Z2[Revenu des parents] --> X;
Z2 --> Z1;








Contrôler pour le maillon central d’une collision ouvre un chemin

Contrôler pour le maillon central d’une collision ouvre un chemin

La marche à suivre pour savoir quoi contrôler






Vous devrez inclure un GOA!

%%{init: {'flowchart' : {'curve' : 'linear'}}}%%
flowchart LR;
X((X)) -- 1.7 --> Y((Y));
Y -- 0.8 --> Z((Z));
X -- 1.2 --> Z;
X
1.704492
X Z
0.4513059 0.4882973
%%{init: {'flowchart' : {'curve' : 'linear'}}}%%
flowchart LR;
X((X)) -- 2 --> Z1((Z1));
Z1 -- 0.25 --> Y((Y));
Z2((Z2)) -- 1 --> Y;
Z2 -- 1 --> X;
Z2 <- rnorm(n)
X <- Z2 + rnorm(n)
Z1 <- 2 * X + rnorm(n)
Y <- 0.25 * Z1 + Z2 + rnorm(n)
mod <- lm(Y ~ X + Z2)
coef(mod) X Z2
0.5025427 0.9909002
X
0.4567787
%%{init: {'flowchart' : {'curve' : 'linear'}}}%%
flowchart LR;
X((X)) -- 2 --> Z2((Z2));
Z2 -- 0.5 --> Y((Y));
Z2 -- 1 --> Z3((Z3));
Y -- 1 --> Z3;
Z1((Z1)) -- 1 --> Y;
Z1((Z1)) -- 1 --> X;
%%{init: {'flowchart' : {'curve' : 'linear'}}}%%
flowchart LR;
X((X)) -- 2 --> Z2((Z2));
Z2 -- 0.5 --> Y((Y));
Z2 -- 1 --> Z3((Z3));
Y -- 1 --> Z3;
Z1((Z1)) -- 1 --> Y;
Z1((Z1)) -- 1 --> X;
%%{init: {'flowchart' : {'curve' : 'linear'}}}%%
flowchart LR;
X((X)) -- 2 --> Z2((Z2));
Z2 -- 0.5 --> Y((Y));
Z2 -- 1 --> Z3((Z3));
Y -- 1 --> Z3;
Z1((Z1)) -- 1 --> Y;
Z1((Z1)) -- 1 --> X;
Z1 <- rnorm(n)
X <- Z1 + rnorm(n)
Z2 <- 2 * X + rnorm(n)
Y <- 0.5 * Z2 + Z1 + rnorm(n)
Z3 <- Z2 + Y + rnorm(n)
mod <- lm(Y ~ X + Z1)
coef(mod) X Z1
1.002823 0.993377
X
1.498487


Les Graphes Orientés Acycliques (GOA) | POL-2000
Comment déterminer si un chemin est ouvert ou fermé